Excerpt from Solar History, Chapter 6 (revised version)
After we have established that wars and genocides have taken place predominantly during Grand Solar Maximum, we turn to the long-term decline in violence throughout human history. Different pacification processes were identified. the most recent one and most notable one for the current population is also correlated to Grand Solar Minima, the times of peace.
Large historic conflicts (battles) vs. person-to-person violence
When observing the rates of death by warfare and genocide, it is easy to get the impression that overall violence has increased in the last couple centuries. However, violence overall has been on the decline. Wars have become more industrialised and more widespread geographically, but if we take the increase in world population and interpersonal violence into account, we find that we are living in the most peaceful times that we are aware of. Anthropologists have traditionally failed to document the high rates of homicides, feuding and civilian violence in early societies, especially in undeveloped non-state societies. Often, it was observed that tribes would encounter each other on a field in battle regalia and after much intimidation and noise, both parties went back home without exchange of blows, so it was deduced that warfare in primitive societies was largely ceremonial rather than physical. But as we now know, much killing went on during ambushes and raids of enemy hamlets and within tribes.
The long-term decline in interpersonal violence and group violence has become well established in recent years. Violence has drastically reduced in all state societies; the man-made death toll is at a historic low. In prehistoric societies as well as in historic hunter-gatherer societies, the death rates were on average 375 times higher than in modern state societies today (see below, ‘Our World in Data’).
The pacification process during the Little Ice Age
The long-term decline in interpersonal violence has become well established in recent years. And it has become clear that a massive unprecedented decline in crime (reduction of up to a factor of 50) took place only recently, within a few centuries in Europe.
Frost and colleagues describe “The War on Murder’ in the 11th to the mid-18th centuries) following the ‘Age of Personal Violence’. Before the 11th century, it was considered honorable to settle disputes from ‘man to man’, if need be, by violence.
“Change began in the 11th century with the strengthening of kingdoms throughout Western Europe and a shift toward a new consensus. The State no longer saw itself as an honest broker in personal disputes. Jurists were now arguing that the king must punish the wicked to ensure that the good may live in peace. The Church was coming around to the same view.[…] [i] Courts imposed the death penalty more and more often and, by the late Middle Ages, were condemning to death between 0.5 and 1.0% of all men of each generation, with perhaps just as many offenders dying at the scene of the crime or in prison while awaiting trial. Meanwhile, the homicide rate plummeted from the 14th century to the 20th” [ii]
Over a lifetime, one or two out of every two hundred men would end up being executed.
Further, an uninterrupted series of indicted homicides in Kent from 1560 to 1985 constructed by Cockburn (1991) showed a more or less continuous tenfold fall from around three-to- six offenses per 100,000 to a rate of 0.3–0.7 over more than 400 years.” [iii]
The findings by Spierenburg (1996) showed a drop in violent crime in Amsterdam from about fifty per 100,000 population in the fifteenth century to about one per 100,000 in the nineteenth century, which coincides with the long-term decline in violence anticipated by Gurr (1981).
“Taken together, these data first confirm the Europe-wide massive drop—roughly by a factor of 10:1 to 50:1 over the period from the fifteenth to the twentieth century—in lethal interpersonal violence first observed by Gurr on the basis of English data (1981). Second, the transition to declining homicide rates appears to have started earliest in the northwestern parts of Europe and then to have gradually diffused to the more peripheral regions of the continent.” [iv]
“This ‘war on murder’ reached its peak in England and Flanders by the 16th century”. [v]
The data by Gur, Frost and others reveal and unclear increase also in these non-state killings and inter-personal violence in some individual Grand Maxima but not in others, thus they are not included in the statistical evaluation as visualized in chart No.2 (Fig. 12). In this paragraph, we focus on the broad time-scale of the Little Ice Age as a cluster of several Grand Solar Minima.
An overall drop in interpersonal violence can be anticipated during Grand Minima, when we compare violence in state societies simultaneously in Asia and Europe and other socio-political parameters, for instance, increased inequality during Grand Maxima (see Chapter 19).

Fig. 16 Sunspot numbers for the past 7,000 years and the pacification process/ reduction of violence in Europe from the 11th to the 20th century, peeking roughly during the Little Ice Age, the 14th to the 19th century; in this time span, violent crime was reduced by a factor of between 10:1 to 50:1. Solar data: Usoskin 2007. Data of violent crime see fig. below).

Fig. 17 Detail from Fig. 16. Timelines for different quantification methods of the reduction in violence in Europe given by: Pinker, 2011; Gurr, 1981; and Frost, 2015, the “War on Murder” began already in the 11th century. But the most drastic decline in violence was registered in the 15th to 20thcentury.
The variance of the genetic contribution to crime is not very large. The heritability of altruism was calculated at 56%, that of aggressiveness at 72%. [vi] The criminal tendencies of adopted boys are more correlated to the criminal record of a biological father than of the adoptive father, who raised the child and is the only one to have any environmental influence of the two. Mednick, 1984 found that more than twice as many offenders convicted of property crimes, such as breaking and entering, had a biological father who was a criminal, compared with those who had an adopted criminal father; the proportion was even higher for repeat offenders. [vii]
Nevertheless, on the large scale, this decline in violence since the early Middle Ages had a significant genetic component. The rigorous execution of even non-violent criminals is considered cruel and inhumane by our modern laws and ethical standards; to most of us, hanging a thief on the town square is unthinkable. Plus, the ineffective justice system of the time meant more innocent suspects were unjustly executed than today. Even today, due to errors or corruption, convicts are sometimes found innocent after years of incarceration or even on death row, which makes a strong case against the death penalty.
Further, we see that aggressive and antisocial behavior can be triggered by brain damage, especially to the prefrontal cortex, in which case the behavior has only a very small possible genetic component, and execution has no beneficial long-term effect on the safety of the society in comparison to incarceration, but rather brings additional trauma to the relatives of the convict. In other cases, there are one-time offenders who then turn out to be completely reintegrated after their sentence.
But despite of all these problems, in a cynical way, it was among other things the merciless implementation of the rule of law that led to the low criminality and high empathy of today’s society, particularly in the West. The exact magnitude of the genetic contribution in this pacification process is still debated, but since it does exist, it had a long-lasting effect (possibly for many generations to come), which will be beneficial in the next Grand Solar Maximum, when mass excitability and aggression must be expected to rise again (unless – in the meantime – we did indeed find a way to prevent this, during this unfolding next Grand Solar Minimum). Solar History provides the evidence that we are doing better every grand solar cycle, so there is a good chance that long-term, sustainable and non-authoritarian peace can be achieved, possibly within this unfolding Grand Minimum.
The time window of the medieval pacification process overlaps with the concentration of grand solar cycles of the last millennium.
Not only does violence decline during each Grand Solar Minimum, but it started to decline sustainably (either to a large degree or exclusively due to this harsh punishment of violent and even non-violent crime) during a cluster of several grand minima, which coincided with the cold period known as the Little Ice Age.
The Little Ice Age is dated disputedly between 1350 and 1850 (or 1310 to 1840) with the coldest period around 1600 to 1800.
Even though intelligence and crime have only a weak negative correlation (r- 0.20) [viii], it is interesting to note the later phase of this timespan is also when IQ in Europe steadily increased, until it started to decrease again around 1850. [ix] Gregory Clark analyzed wills in Suffolk and Essex, in the east of England across the 17th century (at that time, about 40% of English men left wills). [x] He found the completed fertility (the number of surviving children) of the richer half was 40% higher than that of the poorer half. And this went on over many generations. [xi] “The heritability of intelligence increases from about 20% in infancy to perhaps 80% in later adulthood.“ [xii]
Thus, the question arises: why did western societies start to ram through this ‘war against violence just in this cluster of several Grand Maxima, the most marked of such clusters in the last 12,000 years? I propose here that the same effects of changes in magnetic fields, cosmic rays and other space radiation, that enhances peacefulness and reason during Grand Minima, are also what drives people to overcome their short-term, superficial instincts of universal empathy for all and instead to take the responsibility of the long-term consequences of unwarranted empathy. It is easy to have mercy and to let a murderer go with a slap on the wrist if you don’t have to live with him or think what he’s going to do in the future. Again, empathy is an extremely important human attribute, but it is not in itself a virtue, if it is not moderated with responsibility, foresight for the long-term consequences and reason. The physical and biological mechanisms that connect helio- and geophysical changes with human activity will be elaborated upon in my upcoming book Solar Behavior (end of 2019 or 2020).
As we’ll see in Part II of this book, history reveals not only higher numbers of casualties in Grand Maximum, but also a general low cast of mind to drive conscienceless and seemingly mindless mob violence. In Grand Minimum, there are some peasant revolts and local feuds as expected during climate downturn, crop failure and food shortages. But in Grand Maximum, not only is there more war and persecution, but also it is often a puzzle what exactly people were killing each other for in the first place.
As far as state violence is concerned, there are indications that state violence was extremely high in the Aztec Empire already during Grand Minimum including brutal conquests and human sacrifice in the Aztec culture prior to the conquests by the Spanish beginning 1519. War deaths in Central Mexico between 1419 and 1519 were at 250 per 100,000; the highest ever known for state societies in history.[xiii] In comparison, in 20th century Germany, the numbers were at about 160 war death per 100,000 per year (see Fig. 19).
It must be said it is impossible to know exactly how many were sacrificed or killed in war by the Aztecs in what decade. As we will see below, the Aztecs had migrated to the Mexican valley only 200 years prior and they were feared and hated by most of the neighboring tribes throughout that time. So, their reign roughly coincides with the crucial period of the Italian Renaissance. At the time of the European invasion, also other south American peoples, for instance the Incas, were involved in human sacrifice, so the thirst for blood was apparently not limited to the Spanish invaders or other war mongering nations in Europe or Asia in this period. The deadliest conflicts in China were to follow shortly after 1600. (See Chart No. 1, star symbols).
Dean Falk of Florida State University in Tallahassee and Charles Hildebolt of Washington University School of Medicine in St. Louis confirm that the large death toll of recent wars does not indicate that violence has increased. As a population grows, larger numbers of combatants die in wars, but those who are killed represent a smaller average percentage of the total population.
“That pattern holds for both small-scale and state societies, the researchers report:”
“Falk says the new findings challenge the idea that, starting around 5,000 years ago, states reduced rates of violence and war deaths characteristic of earlier, much smaller human groups.” [xiv]
The researchers further refer to Steven Pinker who had calculated an annual average death rate from warfare in 27 recent nonstate societies as 524 per 100,000, about half of 1 percent per year. States ranging from the Aztec empire to 20th century Russia and the United States had rates no more than about half as large as that, including two World Wars.
Here are some direct quotes from Pinker on the overall decline of violence over the course of human existence:
“In the modern West and much of the rest of the world, capital and corporal punishments have been effectively eliminated, governments’ power to use violence against their subjects has been severely curtailed, slavery has been abolished, and people have lost their thirst for cruelty. All this happened in a narrow slice of history, beginning in the Age of reason in the 17th century and cresting with the Enlightenment at the end of the 18th”. [xv]
This time span roughly overlaps with the Maunder Minimum (ca. 1645 and 1715).

Fig. 18 Comparison of solar activity versus rate of death in conflict in greater Europe 1400-2000. Anthropogenic data: Pinker, S. 2011: The Better Angles of our Nature. Penguin London. P. 230. (Solar data: proxy atmospheric 14C data from Muscheler et al 2007)
Cause and effect – state and violence
So, state- and government- organization is very strongly corelated with the decline in human violence. The findings of Steven Pinker may suggest that the formation of a state is what causes the general decline in violence, and some would like to conclude that bigger states mean less violence. But the big question of cause and effect remains: whether it is primarily the case that states themselves decrease violence by implementing punishment for violence, or vice versa: civilized, non-violent peoples tend to form states to maintain their freedom and security. A large degree of development, wealth and organization is needed to form an efficient state able to protect its citizens.
The notion that only the formation of strong states themselves lower violence is easily challenged; the greatest genocides and mass killings that can be quantified in the first half of the 20th century as well as in all other times of heightened human excitability (and solar activity) in the past millennium, were conducted by state governments. These include almost all of the casualties in the above list of wars, genocides etc. of the last millennium. The Black Book of Communism calculates that socialist/ communist states in the 20thcentury alone killed 94 million of their own people outside of war against other nations. [xvi]
According to R.J. Rummel, democide surpassed war as the leading cause of non-natural death in the 20th century. His research shows that the death toll from democide is far greater than the death toll from war. After studying over 8,000 reports of government-caused deaths, Rummel estimates that there have been 262 million victims of democide in the last century. According to his figures, six times as many people have died from the actions of people working for governments than have died in battle.[xvii]
It is the case that thriving societies that follow free trade and the non-aggression principle over time tend to form states to protect their freedoms and security obtained and it is usually these modern capitalist states that can provide the means to maintain a functioning police force, justice system and military.
The formation of states and justice system appears to be prompted by successful economies and general wealth, rather than vice versa. Powerful nations with colonial histories found out that it is more economically beneficial for themselves if they let other nations thrive as well and then engage in trade with them instead of oppressing and enslaving them at gunpoint. In the American Civil War, it turned out the democratic slave owners of the South were worse off than the non- slave owners of the North.
Evidence for the high rates of prehistoric and historic human violence is staring us in the face. Already a random Google search for ‘skull’ and ‘archology’ or a casual glance in your anthropological museum gives a glimpse on the high incidence of bashed-in skulls, trauma fractures in otherwise well-preserved crania.
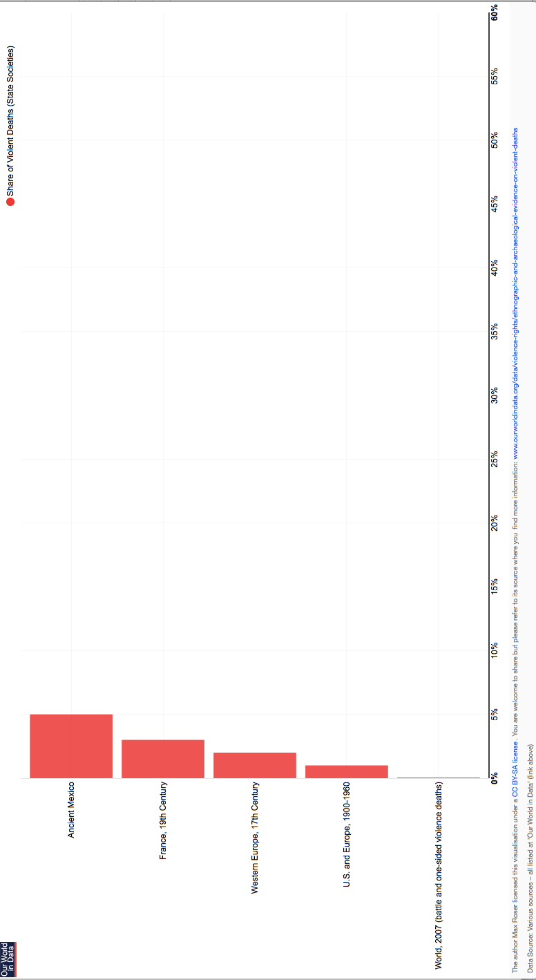
As we see in Fig 19: the shares of violent deaths in non-state societies range from: 4%; for the Anbara, N. Australia (Hunter-Gatherers) to 56 % for the Waorani (Ecuadorian Amazon). The world average is just around 15%. It was almost the same for historic hunter gatherer societies. Where the killings were observed directly.
In state societies, it was for instance 5% for Ancient Mexico (the highest ever known for state societies);
The share of violent deaths for Europe and the US from 1900-1960 was less than 1% (Male population), including two world wars, when all atrocities, communism and genocides are included, the figure is estimated to rise as high as 3%.
In recent decades (2007) the world average share of violent deaths (battle and one-sided violence deaths) was around 0.04%.That is 375 times fewer anthropogenic deaths in civilization today than in an average non-state society or prehistoric hunter-gatherer society. That’s a decline of 37,500%!
If you live in civilization, you are 1500 times less likely to be killed by humans than if you were with an isolated Waorani tribe.
Pinker maintains that violence has been in decline over long stretches of time and that we may be living in the most peaceful time in history and prehistory.
“The decline of violence, to be sure, has not been steady; it has not brought violence down to zero (to put it mildly); and it is not guaranteed to continue. But I hope to convince you that it’s a persistent historical development, visible on scales from millennia to years, from the waging of wars and perpetration of genocides to the spanking of children and the treatment of animals.”
Although imperialist conquests and colonialist rule were mostly totalitarian and inhumane, they strangely reduced overall endemic violence:
“The reduction of homicide by government control is so obvious to anthropologists that they seldom document it with numbers. The various “paxes” that one reads about in history books – the Pax Romana, Islamica, Mongolica, Hispaanica, Ottomania, Sinica, Britannica, Australiana (in New Guinea), Canadiana (in the pacific northwest) and Praetoriana (in South Africa) – refer to the reduction in raiding, feuding and warfare in the territories brought under the control of an effective government. Though imperial conquest and rule can themselves be brutal, they do reduce endemic violence among the conquered.” [xix]
In order to determine the rate of violent death in prehistoric or non-developed societies, archeologist use prehistoric skeletons and analyze them for signs of violent trauma, such as above-mentioned bashed-in skulls, decapitated skeletons, femurs with bronze arrowheads embedded in them, and mummies found with ropes around their necks.
Max Roser of ‘Our World in Data’ [xxii] lists 20 archaeological sites for prehistoric societies, for which the proper analyses have been done; the percentage of deaths due to violent trauma ‘range as high as 60 percent, the average is a little bit more than 15 percent.’ prehistoric societies have about the same anthropogenic death rate as historic non-state societies where the killing can be observed directly.
“The first major decline of violence Pinker calls the “Pacification Process.”
“Until about five thousand years ago, humans lived in anarchy without central government. What was life like in this state of nature? This is a question that thinkers have speculated on for centuries, most prominently Hobbs, who famously said that in a state of nature “the life of man is solitary, poor, nasty, brutish and short.” [xx]
It was a century later he was countered by Jean Jacques Rousseau, who says, “Nothing could be more gentle than man in his primitive state.”
“In reality, both of these gentlemen were talking through their hats: They had no idea what life was like in a state of nature. But today we can do better, because there are two sources of evidence of what rates of violence were like in pre-state societies.”
Since 1946 there was a higher number of civil wars, but far fewer casualties of international wars. More numerous but smaller civil wars killed less people in total than large international wars.
“The levels of violence in prehistoric times (archeological evidence) and in non-state societies (ethnographic evidence) was much higher than in modern state societies and in the world today. […] Ethnographic evidence confirms that violence is very common in nonstate societies and drastically higher than in modern state societies. “ [xxi]
The data collected by ‘Our World in Data’ [xxii] on violent deaths shows that in prehistoric times (archeological evidence) and in non-state societies (ethnographic evidence) the levels of violence was much higher than in modern state societies and in the world today. This reveals for instance, in Europe/ US, between 1900 – 1960 spanning two World Wars, less than 2 % of the population were killed by human action compared to up to 60% in hunter-gather societies throughout history.


Fig. 19 Above: Share of violent deaths for non- state societies; Below: Share of violent death for state societies, from ‘Our World in Data’: Share of violent death for non- state compared to state societies. Prehistoric non-state death rates are comparable to historical non-state death rates. This reveals for instance, in Europe/ US, between 1900- 1960, including two World Wars, less than 2 % of the population were killed by human action compared to up to 60% in hunter-gatherer societies throughout history.
The average annual rate of death for nonstate societies is 524 per 100,000 or about 0,5 %. [xxiii] The most violent known state society were the Azteks with a rate of 0.25%. In the 20th century, with its violent first half, even if all death from war, genocides purges and man-made famine are added up, the annual rate of death is much lower, at 60 per 100,000 or 0.06 %. [xxiv]
As an example, by studies of recent decades, it was estimated the Waorani tribes in the Ecuador Amazon have been the most warlike society yet described owing to exceptionally high homicide rates. Disputes over marriage arrangements, blood feuds and retaliations following past killings are commonplace, even among closely related groups. “Most were killed in blood feuds going back generations, which could reignite over almost anything [including accusations of remote witchcraft], says cultural anthropologist Stephen Beckerman of Pennsylvania State University. [xxv]
On the basis of extensive genealogies (up to five generations back) collected in the 1970s, Yost (1981) estimated that more than 60% of adult deaths were the result of warfare: 17% due to external raiding and 44% to spearing in fighting within the tribe. [xxvi] When the modern day Waorani tribe (all but five communities are settled) are observed, nothing appears to be violent about their way of life. Their current life style includes being provided by the Ecuadorian government with food, healthcare, tools, clothing etc.
Archaeologists in Germany uncovered new evidence for cannibalism in the stone age: “Even children and unborn babies were on the menu”.
Analysis of 7,000-year-old bones dug up at Herxheim in south-west Germany suggest the region was a center for cannibalism at a time when the first European farming society may have been collapsing.[xxvii] “All these observations allow us to conclude that the individuals were cannibalized”.
Several discoveries made in Germany and Austria in the past 30 years raise the question of the reality of a climate of collective violence as early as the beginning of the Neolithic, that is at the end of the Linear Pottery Culture (end of the sixth millennium cal BC).[xxviii]
Further evidence for Pleistocene warfare is provided by a research team led by Lahr, et al who investigated a case of inter-group violence towards a group of hunter-gatherers from Nataruk, west of Lake Turkana, which during the late Pleistocene/ early Holocene period (about 10,000 years ago) extended about 30 km beyond its present-day shore.
Skeletons were recovered in some cases, in positions face down; most had severe cranial fractures. Among the in-situ skeletons, at least five showed “sharp-force trauma”, some suggestive of arrow wounds, others were in a position as if their hands had been bound at the time of death.
“Ten of the twelve articulated skeletons found at Nataruk show evidence of having died violently at the edge of a lagoon, into which some of the bodies fell. The remains from Nataruk are unique, preserved by the particular conditions of the lagoon with no evidence of deliberate burial.” [xxix]
Thought Experiment: Empathy
Pinker suggests that some of the reduction in violence over time was a result of increased empathy, ‘propelled by a change in sensibilities’. “As people began to sympathize with more of their fellow humans, they were no longer indifferent to their suffering. State formation finally brought centralized social control sufficient to put an end to feuding, but self-help killing still continues in certain contexts in modern society.” [i]
Empathy and altruism are evidently important attributes for a society. Nobody likes to be surrounded by psychopaths. However, I would like to caution that empathy alone is not sufficient to reduce violence in society. Over-emphasize on empathy of the masses without a strong sense of self-preservation and rationality has always turned to psychopathic despots taking advantage of what they view as a weakness in the general population: empathy. And at some point, genocides have ensued in the name of ‘fairness’, altruism and ‘equality’.
Many like to believe that men in his natural state is its most peaceful and try to deduce this from comparisons with animals. Jean Jacques Rousseau said, “Nothing could be more gentle than man in his primitive state, as he is placed by nature at an equal distance from the stupidity of brutes, and the fatal ingenuity of civilized man. ” [ii]
Professor Jordon Peterson once said ‘undifferentiated empathy is not a high virtue, it has to be tempered by other virtues’. Psychologists found the people most likely to insist in political correctness are high in agreeableness. Indeed, most can attest it doesn’t take any effort or strength to ‘feel for someone’.
The generalized comparison of humans with non-human biology is problematic to begin with, for mammals show strong empathy, but only towards their own offspring or extended family. A cow will defend her calf with a vengeance, and she will eliminate any threat to it without mercy. But she will not risk her life for cows that don’t belong to her inner group, especially not for strangers. Nature is harsh, most animals live under constant threat of being hunted down and eventually die this way.
When we talk about empathy towards all humans and animals, we are talking about an exclusively human trait in the first place. Animals have no perceivable regard for the property or the life of other individuals outside their group, let alone species, unless in unnaturally safe environments, in human captivity or care. The only perceivable reason why a mammal doesn’t simply take another animal’s food and territory or even kill them for it, is the instinctive or learned fear of repercussions. Nothing suggests that they refrain from steeling and killing because they “feel” for the victims. Only well fed and secure animals in human custody are “nice” to other non-related animals.
The concept of the 1976 book on evolution, ‘The Selfish gene’ by Richard Dawkins suggests, that genes strive for immortality, and individuals, families, and species are merely vehicles in that quest. The behavior of all living things is in service of their genes hence, metaphorically, they are selfish. [iii]
What the theory underemphasizes, in my opinion: No human group needs egoistic individuals/ or sociopaths, unless for a short-term gain when the group is under threat from other groups led by egoistic individuals. Biological alpha- individuals are leaders, not exploiters. In July 2017, The Selfish Gene was listed as the most influential science book of all times in a poll to celebrate the 30thanniversary of the Royal Society science book prize.
References:
[i] Boehm, Christopher, 2011: Retaliatory Violence in Human Prehistory; The British Journal of Criminology, Volume 51, Issue 3, 1 May 2011, Pages 518–534,
[ii] The Greatest Works of Jean-Jacques Rousseau; Jean-Jacques Rousseau; e-artnow sro
[iii] The Guardian, Adam Rutherford, 2016: As long as we study life, it will be read’: the Selfish Gene turns 40, Sun 29 May 2016; https://www.theguardian.com/science/2016/may/29/selfish-gene-40-years-richard-dawkins-do-ideas-stand-up-adam-rutherford
References:
[i] Frost 2015; p. 232
[ii] Frost 2015; p. 233
[iii] Eisner, Manuel P, 2003: Long-Term Historical Trends in Violent Crime; Crime and Justice 30:83-142 · January 2003. p.86
[iv] Eisner, Manuel P, 2003: Long-Term Historical Trends in Violent Crime; Crime and Justice 30:83-142 · January 2003. p.88
[v] Frost, P. et al, 2015: Western Europe, State Formation, and Genetic Pacification
Evolutionary Psychology 2015 /1; p. 233
[vi] Rushton, Philippe 1995: Race, Evolution and Behavior: a life history perspective; Transaction Publishers, New Brunswick USA. p. 47
[vii] Starr, Douglas 2016: The inheritance of crime; AEON,; 7 July, 2016; https://aeon.co/essays/linking-crime-and-genetics-need-not-be-an-act-of-eugenics
[viii] Encyclopedia of Crime and Justice; 2002 The Gale Group Inc; INTELLIGENCE AND CRIME; (Hirschi and Hindelang; Wilson and Herrnstein).
[ix] Frost, P. et al, 2015: Western Europe, State Formation, and Genetic Pacification
Evolutionary Psychology 2015 /1 p.208
[x] Gregory Clark (2008): A Farewell to Alms: A Brief Economic History of the World (Princeton Economic History of the Western World)
[xi] Dutton, Edward; Video: Happy Homelands – interview with Dr. Edward Dutton, playtime 11:13; https://www.youtube.com/watch?v=4A4gVvGnTy0
[xii] Plomin, R, et a, 2015: Genetics and intelligence differences: five special findings; Molecular Psychiatry. 2015 Feb; 20(1): pp. 98–108. Published online 2014 Sep 16.
[xiii] Pinker, Steven, 2011 p. 53
[xiv] Bower, Bruce 2017, Science News: Scientists battle over whether violence has declined over time. October 20, 2017 https://www.sciencenews.org/article/scientists-battle-over-whether-violence-has-declined-over-time
[xv] Pinker, Steven. 2011: The Better Angels of our Nature. London: Penguin p. 52
[xvi] Courtois, Stéphane, 1997: The Black Book of Communism: Crimes, Terror, Repression, Harvard University Press
[xvii] R. J. Rummel (Feb, 2005). “Democide Vs. Other Causes of Death https://democraticpeace.wordpress.com/2009/07/01/democide-vs-other-causes-of-death/
[xviii] Pinker, S. 2011; p. 50:
[xix] Pinker, S. 2011. pp. 55- 56
[xx] Pinker, S. 2011. P. 56
[xxi] World of Data; Ethnographic and Archaeological Evidence on Violent Deaths
by Max Roser; https://ourworldindata.org/ethnographic-and-archaeological-evidence-on-violent-deaths#archeological-evidence-on-violent-deaths
[xxii] our World in Data: Ethnographic and Archaeological Evidence on Violent Deaths
by Max Roser; https://ourworldindata.org/ethnographic-and-archaeological-evidence-on-violent-deaths
[xxiii] Pinker, Steven. 2011: The Better Angels of our Nature. London: Penguin. p. 52
[xxiv] Pinker, Steven. 2011: The Better Angels of our Nature. London: Penguin. p. 52
[xxv] Nature Magazine; John Whitfield: Fiercest warriors in Amazon tribe left fewer descendants; 11 May 2009 | Nature | doi:10.1038/news.2009.463
[xxvi] Cardoso, S. et at 2012: Genetic uniqueness of the Waorani tribe from the Ecuadorian Amazon; Heredity (Edinb). 2012 Jun; 108(6): pp. 609–615.; Published online 2012 Jan 11
[xxvii] Independent, Lewis Smith, 6 December 2009 Evidence of mass cannibalism uncovered in Germany https://www.independent.co.uk/news/world/europe/evidence-of-mass-cannibalism-uncovered-in-germany-1835341.html
[xxviii] Boulstin, Bruno et al; 2009: Mass Cannibalism in the Linear Pottery Culture at Herxheim (Palatinate, Germany). Antiquity 83:968–982 · December 2009
[xxix] Mirazón Lahr, M, et al 2016: Inter-group violence among early Holocene hunter-gatherers of West Turkana, Kenya; Nature; volume 529, pages 394–398 (21 Jan 2016)







Leave a comment